含有耦合电感的电路为什么要去耦等效?如何去耦等效?
耦合电感概述
电感元件也称为自感元件,如果两个或两个以上的线圈中每个线圈所产生的磁通都与另一个线圈相交链,则称这些线圈有磁耦合(magnetic coupling)或者说具有互感(mutual induction)。若假定这些线圈是静止的,并且忽略了线圈中的电阻和匝间的分布电容,具有磁耦合的诸线圈就可表示为理想化的耦合电感元件(coupled inductor),简称耦合电感 。
耦合电感去耦等效方法
1.耦合电感的串联等效
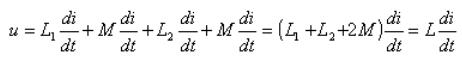
耦合电感的串联有两种方式——顺接和反接。顺接就是异名端相接,如图1(a)所示。

图1
把互感电压看作受控电压源后得电路如图1(b)所示,由该图可得

其中L=L1+L2+2M由此可知,顺接串联的耦合电感可以用一个等效电感L来代替,等效电感L的值由式上式来定。
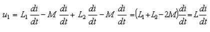
耦合电感的另一种串联方式是反接串联。反接串联是同名端相接,如图2(a)所示,把互感电压看作受控电压源后得电路如图2(b)所示,由图2(b)图可得

其中L=L1+L2-2M
由此可知,反接串联的耦合电感可以用一个等效电感L代替,等效电感L的值由上式来定。

图2
2.耦合电感的T型等效
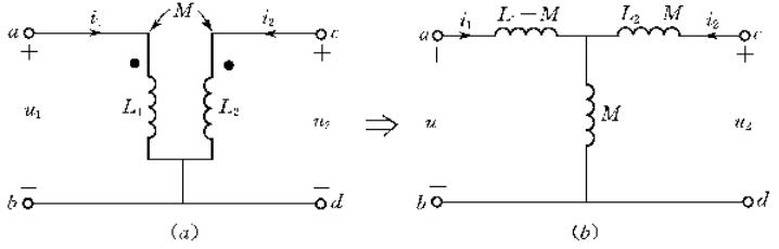
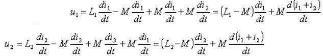
(1)互感线圈的同名端连在一起如图3所示,为三支路共一节点、其中有两条支路存在互感的电路,由图可知,L1的b端与L2的d端是同名端且连接在一起,两线圈上的电压分别为


图3
将以上两式经数学变换,可得

画出两式T型等效电路如图3(b)所示。在图(b)中因有3个电感相互间无互感,它们的自感系数分别为L1-M、L2-M和M,又连接成T型结构形式,所以称之为互感线圈的T型去耦等效电路。
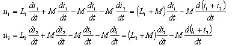
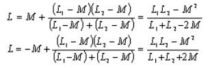
2、互感线圈的异名端连接在一起图4(a)与图3(a)两电路相比较结构一样,只是具有互感的两支路的异名端连接在一起,,两线圈上的电压分别为



图4
同样将以上两式经数学变换,可得

画得T型等效电路如图5(b)所示,这里(b)图中-M为一等效的负电感。

图5
利用上述等效电路,可以得出如图5(a)和(c)所示的耦合电感并联的去耦等效电路,分别如图5(b)和(d)所示。由图(b)(d)应用无互感的电感串、并联关系,可以得到同名端、异名端连接时耦合电感并联的等效电感为

- 电话:0755-29796190
- 邮箱:momo@jepsun.com
- 联系人:汤经理 13316946190
- 联系人:陆经理 18038104190
- 联系人:李经理 18923485199
- 联系人:肖经理 13392851499
- QQ:2215069954
- 地址:深圳市宝安区翻身路富源大厦1栋7楼

